电流诱导力矩可以高效地实现电流驱动的磁畴壁移动及磁矩翻转,在自旋电子学领域具有重要的研究意义,有望实现新型高性能磁存储器件。目前,大多数研究关注于具有强自旋轨道耦合的重金属体系,流过重金属中的电流通过自旋霍尔效应产生自旋流,自旋流与铁磁磁矩交换角动量进而诱导自旋轨道力矩。然而,不具备强自旋轨道耦合的轻金属体系一般不能观测到自旋霍尔效应,因此轻金属材料中很难产生强的自旋轨道力矩效应。在材料中,除了自旋流外,电子轨道流也可以传递角动量。比较而言,一方面,电子轨道流的产生不依赖材料体系中的自旋轨道耦合效应;另一方面,虽然在基态下轨道流会快速淬灭,但是在电场的作用下轨道角动量的积累依然可能存在,这表明轨道流在材料体系中会更加本征;此外,理论研究表明在强自旋轨道耦合体系中,轨道流可以有效地转换为自旋流,因此,实验上如何利用轨道流进一步提高自旋流的转换效率成为研究的关键。
近日,北京大学物理学院凝聚态物理与材料物理研究所、人工微结构和介观物理国家重点实验室杨金波教授课题组与德国美因茨大学M. Kläui教授和于利希研究中心Y. Mokrousov教授课题组合作,在自旋电子学研究领域取得了重要进展。联合研究团队针对氧化铜体系中的轨道Rashba-Edelstein效应展开研究,首次观察到轨道Rashba-Edelstein效应诱导的新型磁电阻效应,表明不具备强自旋轨道耦合的体系中仍可以利用电流诱导产生力矩。
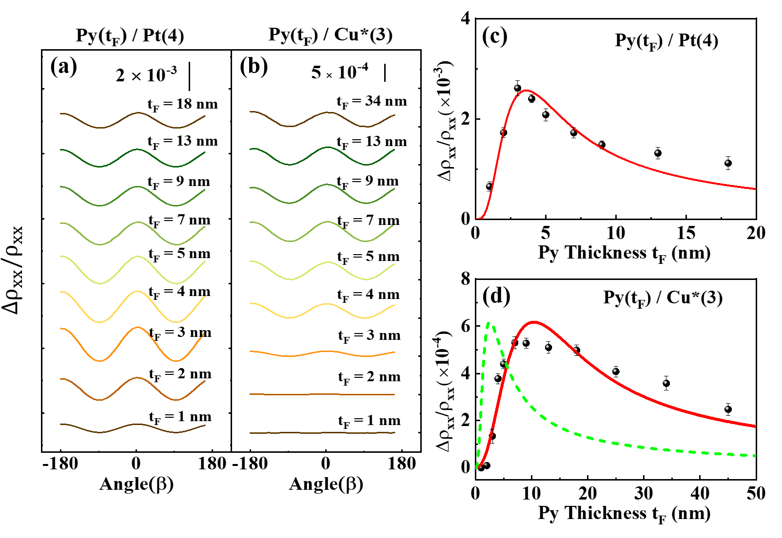
联合研究团队通过研究氧化铜(CuOx)/坡莫合金(Py)体系中的电流诱导力矩效应,发现该体系中存在类似于自旋霍尔磁电阻(Physical Review Letters 110, 206601 (2013))的磁电阻效应(图 1)。CuOx/Py 体系在 yz 平面内的磁电阻效应被认为是轨道Rashba-Edelstein磁电阻效应,通过改变 Py 的厚度,CuOx/Py 体系中的磁电阻效应相对于 Pt/Py 体系呈现出更加缓慢的衰减趋势(图2);利用自旋模型对数据进行拟合分析,结果表明 CuOx/Py 体系中具有较长的有效自旋散射长度,说明自旋流不是引起磁电阻的主要因素,进一步证明了体系中轨道Rashba-Edelstein效应的存在。该研究工作表明部分轻金属(氧化物)可以通过轨道霍尔效应和轨道Rashba-Edelstein效应诱导产生电流力矩,为研发高效率、低成本的自旋轨道力矩器件提供了一种新思路。

图1 (a)-(c) CuOx(3 nm)/Py(5 nm) 异质结构在三个旋转平面(α, β, γ) 内的磁电阻效应(300 K, 6 T),右图为霍尔结构示意图以及旋转角度的定义(其中, γ 平面内的磁电阻为各向异性磁电阻效应,β 平面内的磁电阻为轨道 Rashba-Edelstein 磁电阻效应,α 平面内的磁电阻为 β 与 γ 平面内磁电阻效应之和)

图2 (a)-(b) 6 T 磁场下,Pt(4 nm)/Py(tF )和 CuOx(3 nm)/Py(tF) 在 β 平面内的磁电阻效应;(c)-(d) 两个体系中磁电阻比率随 Py 厚度的变化关系(其中,红色曲线是数据的拟合曲线,绿色虚线曲线表示将 Py 的自旋散射长度带入公式后获得的磁电阻与 Py 厚度的变化关系,表明体系中的磁电阻效应不来自于自旋流)
2022年2月10日相关成果以“轨道Rashba-Edelstein磁电阻的观测”(Observation of the Orbital Rashba-Edelstein Magnetoresistance)为题,在线发表于《物理评论快报》(Physical Review Letters),并被选为编辑推荐文章(Editors’ Suggestion)。北京大学物理学院2016级博士研究生丁石磊(现为苏黎世联邦理工学院博士后)、2019级博士研究生梁中宇和德国于利希研究中心博士后Dongwook Go为共同第一作者,杨金波教授为通讯作者。

上述研究工作得到了国家自然科学基金、国家重点研发计划,以及量子物质科学协同创新中心和北京大学长三角光电科学研究院等支持。
论文原文链接: https://link.aps.org/doi/10.1103/PhysRevLett.128.067201
近年来,杨金波课题组与合作者在自旋电子学方面取得了系列研究成果,研究了铁磁绝缘体中的界面非对称交换作用(Physical Review B 100, 100406 (R) (2019)),铁磁绝缘体系中的自旋轨道力矩和界面DM相互作用的厚度依赖关系(Physical Review B 102 (5), 054425 (2020)),利用轨道流-自旋流的转换实现了自旋轨道力矩的增强(Physical Review Letters 125, 177201 (2020)),探讨了铁磁绝缘体/重金属体系中反常霍尔的起源(Physical Review B 104, 224410 (2021))等。