近来,本征二维磁性拓扑绝缘体锰铋碲(MnBi2Te4)材料因观测到陈绝缘体、轴子绝缘体等一系列新奇的量子现象而备受关注。相较MnBi2Te4材料,MnSb2Te4材料的制备窗口更大,此前研究发现Mn(锰)和Sb(锑)原子的替位浓度会随着生长条件的不同而不同,进而改变材料的磁基态。因此,在二维极限下,揭示铁磁和反铁磁的MnSb2Te4材料在层数、温度、外磁场参数空间下的磁状态,对进一步开展其拓扑性质研究具有重要意义。
北京大学物理学院凝聚态物理与材料物理研究所、纳光电子前沿科学中心、人工微结构和介观物理国家重点实验室叶堉研究员与北京理工大学黄元教授、中国人民大学雷和畅教授等合作,首次开展了MnSb2Te4材料在二维极限下的研究。联合研究团队利用机械剥离的方法分别对反铁磁相和铁磁相的块材MnSb2Te4进行减薄,获得不同层数的薄层样品(图1),并通过反射磁圆二向色性谱(RMCD)研究了样品的磁演化。

图1 (a)MnSb2Te4原子结构图;(b~e)少层样品表征以及四层反铁磁相和铁磁相MnSb2Te4的磁演化
在反铁磁相研究中(图2),1~9层样品呈现典型的A型反铁磁行为,体现出明显的奇偶层数震荡效应。在奇数层中,样品因未补偿的一层净磁矩在零场附近出现迟滞回线,并随磁场增加,除1层样品外均经历一次“自旋-翻转”(spin-flop)过程,最后达到磁饱和态。而在偶数层中,因不再有未补偿的净磁矩,零场附近迟滞回线消失;在大于2层的样品中,随着磁场增大,会先经历一次表面“自旋-翻转”过程,达到一个共线的M2态(磁矩为2层MnSb2Te4的静磁矩),也就是磁矩与外磁场反平行的表面层磁矩从与磁场反平行翻转到了与磁场平行,之后,再经历体“自旋-翻转”过程,最后达到磁饱和态。联合研究团队通过一维线性链模型拟合实验数据,获得材料的各向异性能和层间相互作用能,从理论上得到了不同层数反铁磁样品的磁演化过程。并发现反铁磁相MnSb2Te4的各项异性能与相互作用能的比值略大于MnBi2Te4中的该比值,解释了在MnBi2Te4中没有观测到稳定M2态的原因,由此也为研究共线M2态下的量子输运性质研究提供了一个材料体系。

图2 反铁磁相MnSb2Te4中层数依赖的磁演化行为
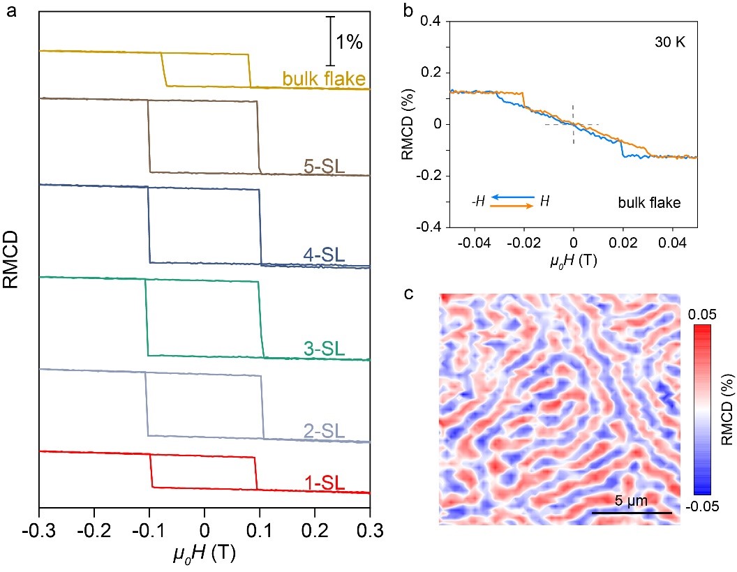
在铁磁相研究中(图3),少层样品的磁演化与层数之间没有明显的依赖关系。相比于厚层样品,在少层样品中观察到更大的矫顽场,这可能是由磁各向异性能变大以及屏蔽作用的减小引起的。较大的各向异性能使得少层样品在低于居里温度的整个测量温度范围内一直保持单畴的行为;厚层样品随着温度升高,单畴行为难以保持,会出现明显的迷宫畴,在零场下测得畴的尺寸约为625 nm。

图3 少层铁磁相MnSb2Te4的磁演化行为及厚层样品中的迷宫畴
2022年1月3日,相关研究成果以“MnSb2Te4中层数依赖的反铁磁和铁磁行为”(Layer-Number-Dependent Antiferromagnetic and Ferromagnetic Behavior in MnSb2Te4)为题在线发表于《物理评论快报》(Physical Review Letters);北京大学物理学院2017级博士研究生臧之昊为第一作者,叶堉、黄元和雷和畅为共同通讯作者,合作者还包括北京理工大学刘立巍教授、王业亮教授,北京大学高鹏研究员、杨金波教授。
上述研究工作得到国家重点研发计划、国家自然科学基金、北京市自然科学基金以及北京大学电子显微镜实验室等支持。
论文原文链接:https://journals.aps.org/prl/abstract/10.1103/PhysRevLett.128.017201